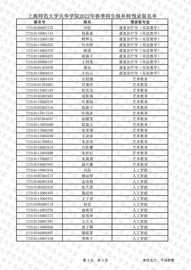
作者:招生办公室(2022-03-22)
Copyright © 1946伟德手机版 版权所有 学校地址:上海嘉定区胜辛北路1661号 邮政编码:201815 沪ICP备 10034587号-3 电话 021-39966666