上海师范大学天华学院2022年伟德足球投注官网
分数线、确认流程及预录取、候补资格考生名单
分数线
专业代码 | 专业名称 | 预录取 | 候补资格 |
1 | 学前教育 | 442分 | 426分 |
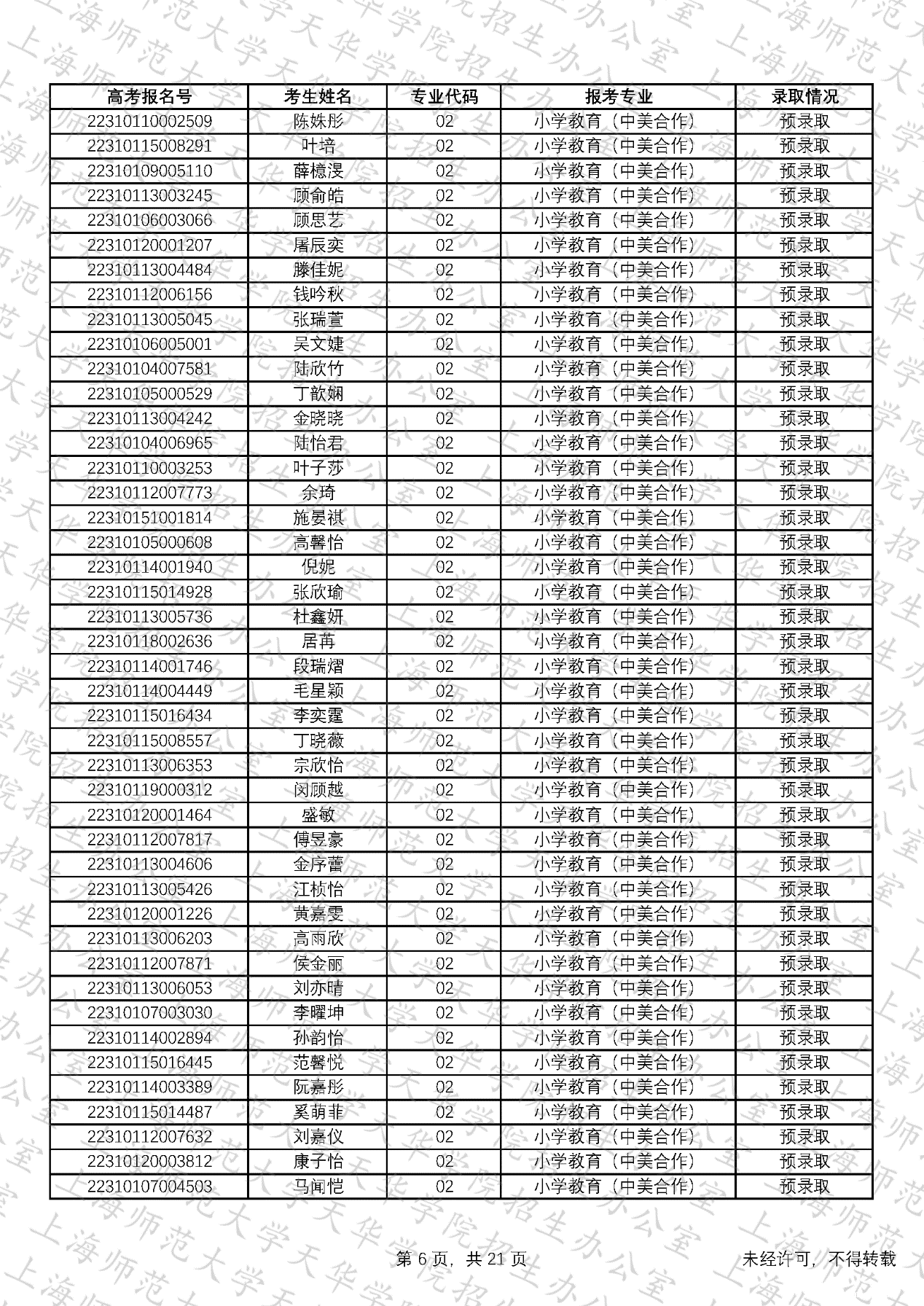
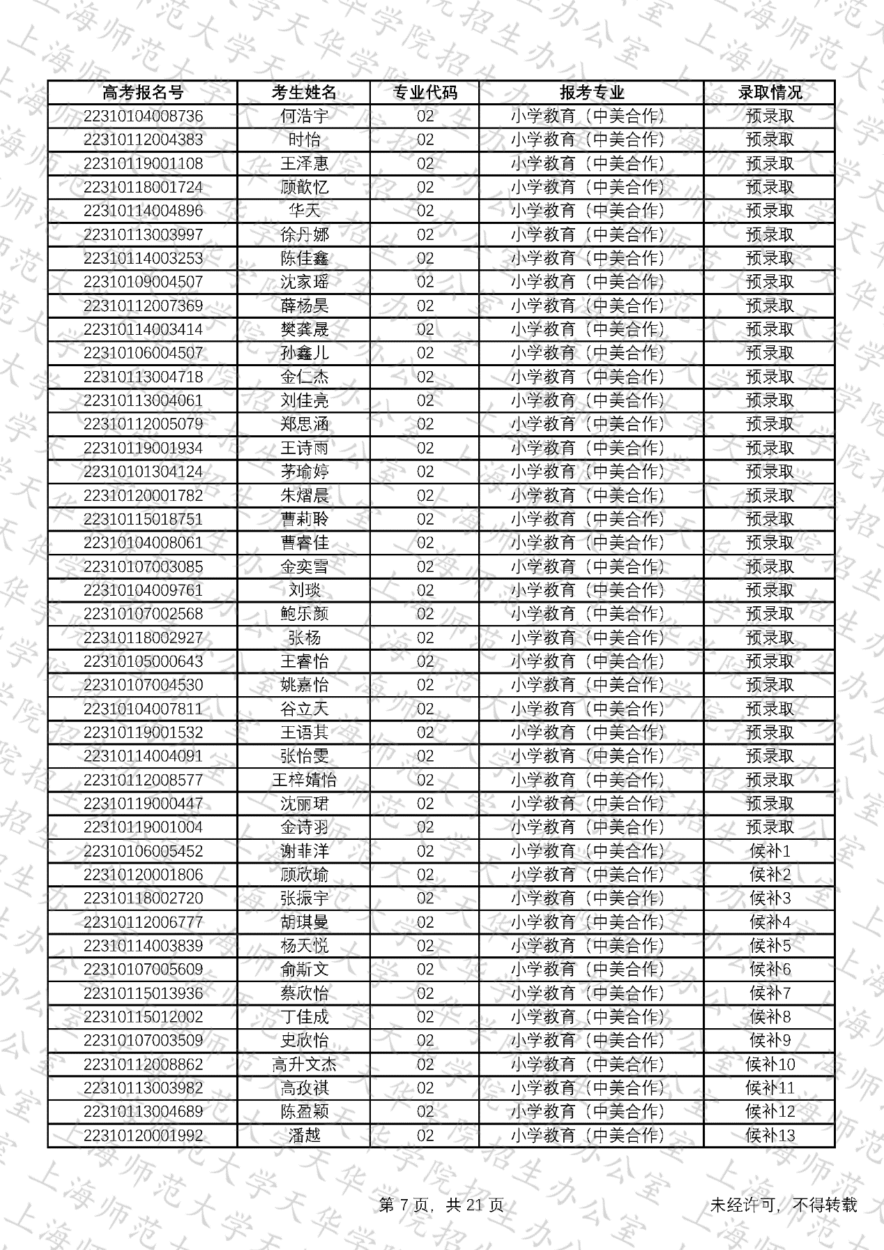
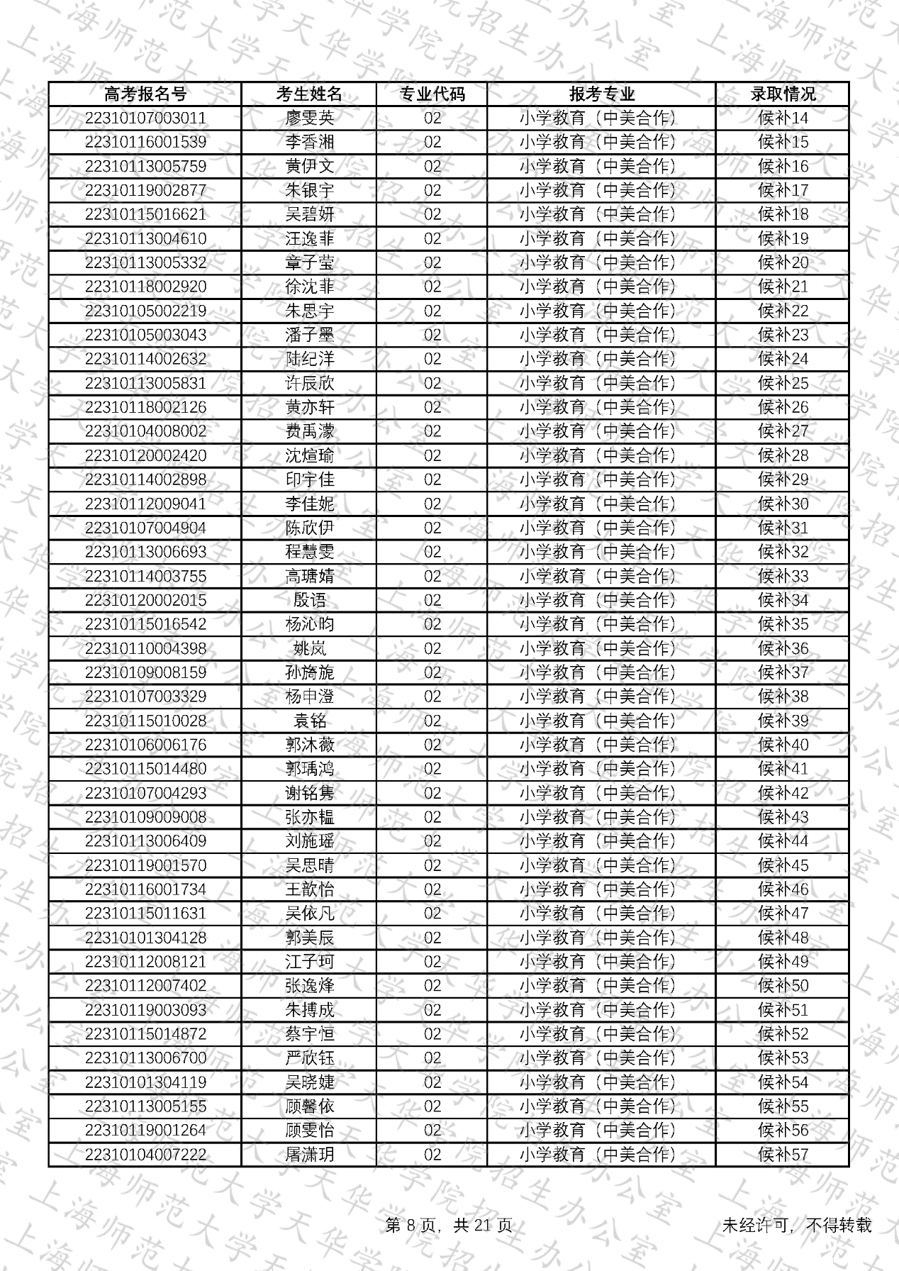
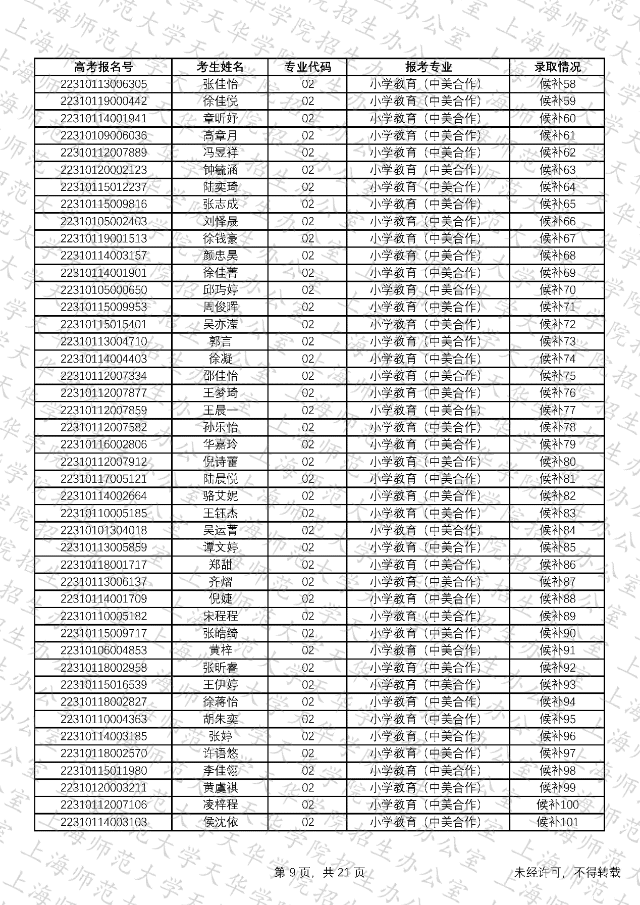
2 | 小学教育 | 444分 | 428分 |
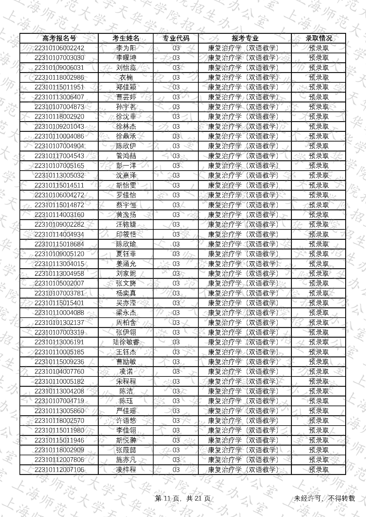
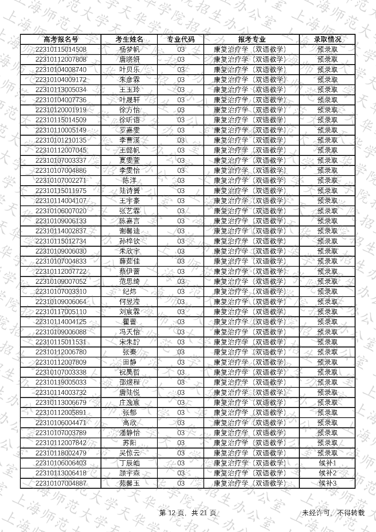
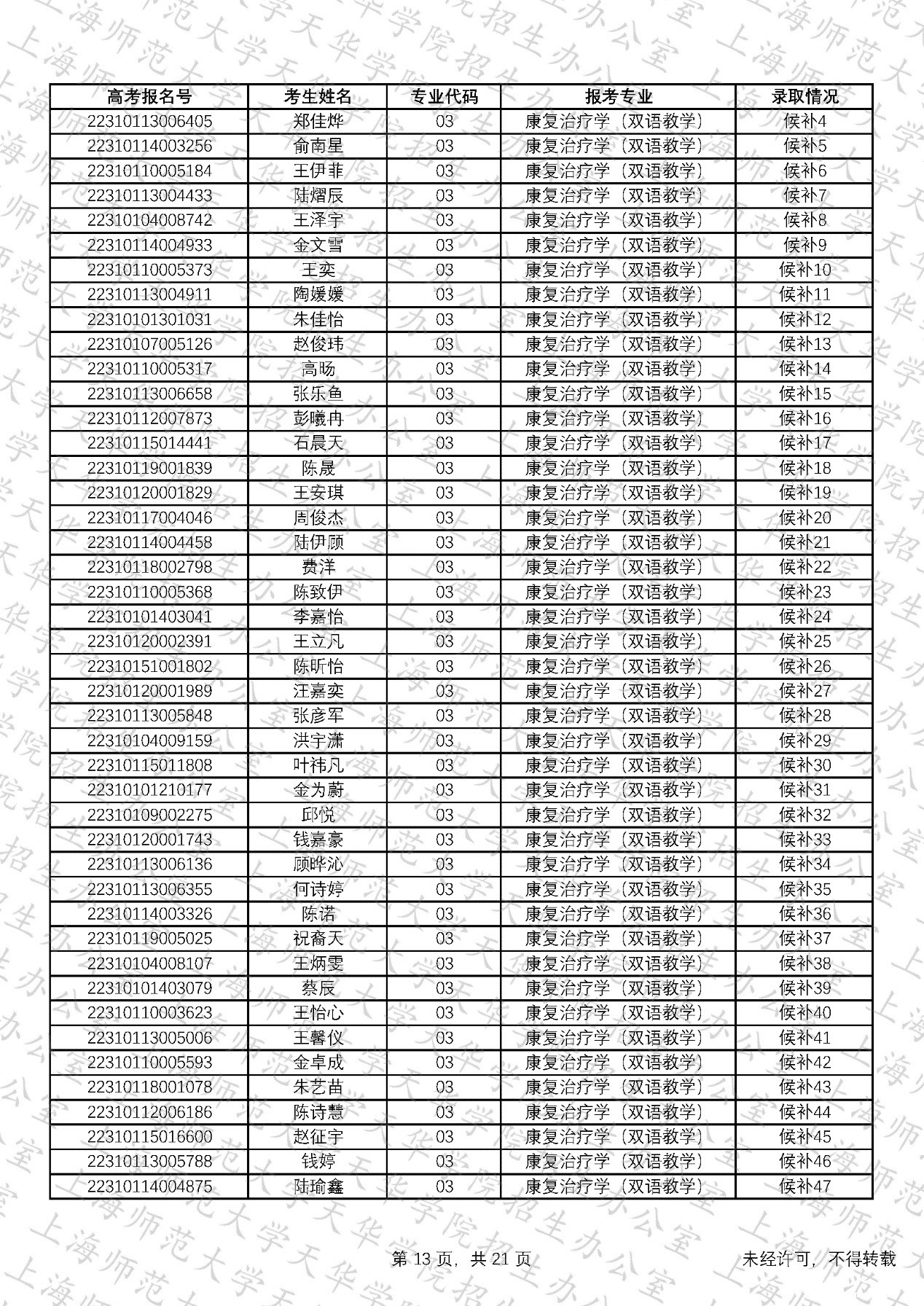
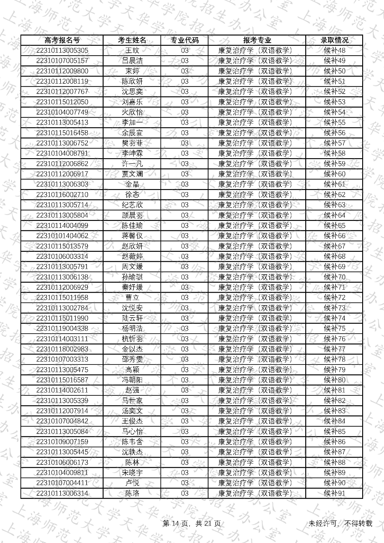
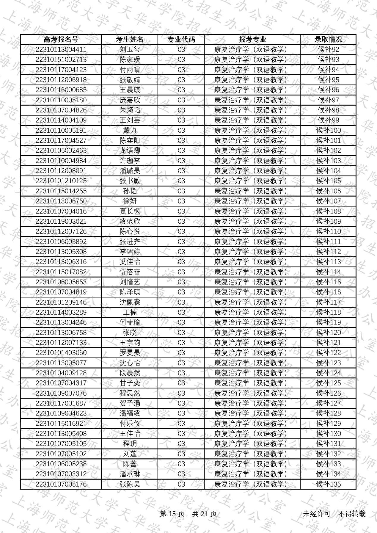
3 | 康复治疗学 | 424分 | 412分 |
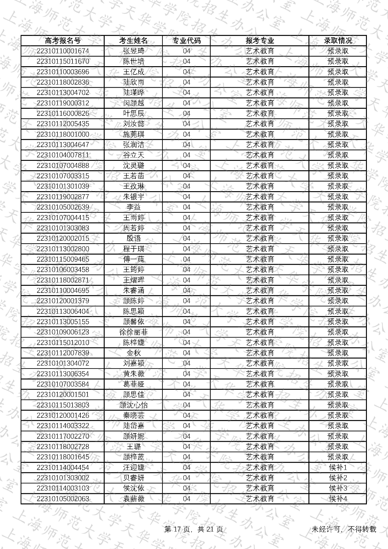
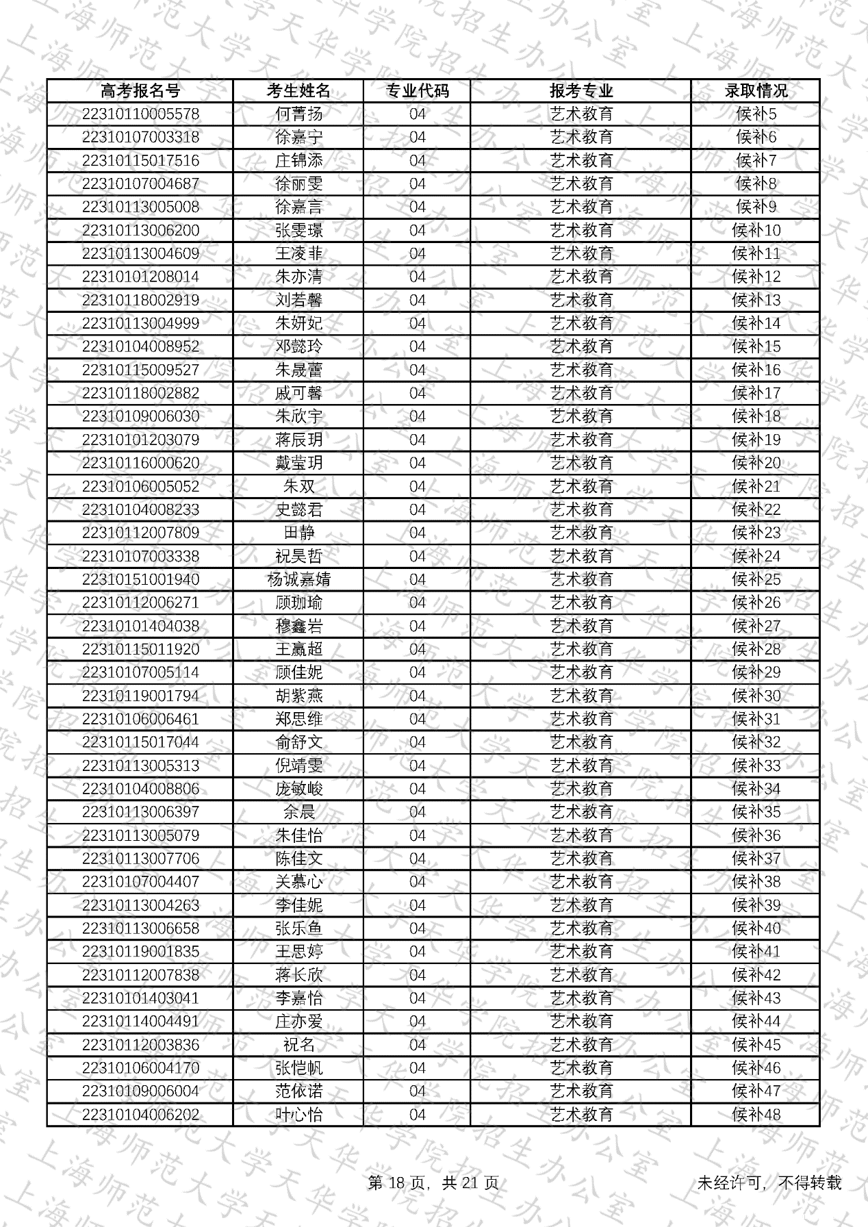
4 | 艺术教育 | 433分 | 418分 |
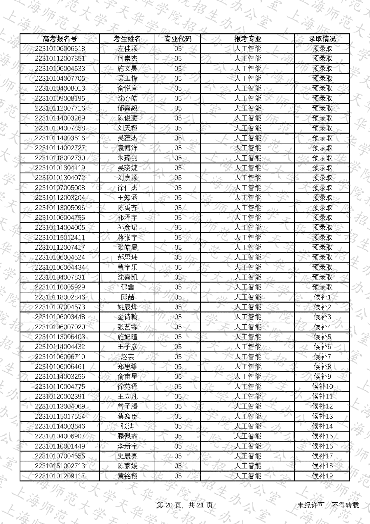
5 | 人工智能 | 428分 | 406分 |
备注:1.合成分=统一文化考试成绩+院校自主测试成绩;
2.院校自主测试成绩均以150分计入;
3.预录取、候补资格考生名单见附件。
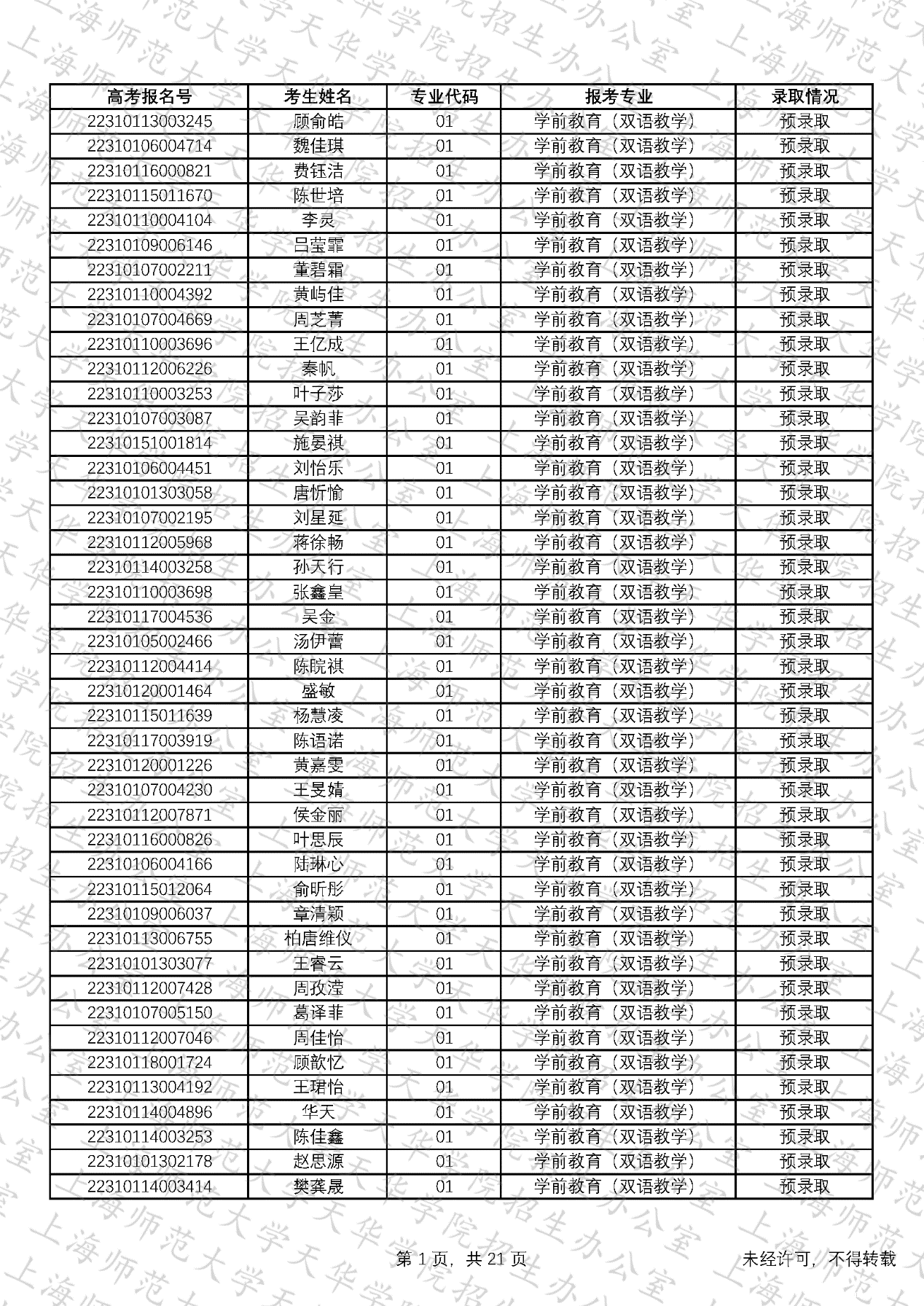
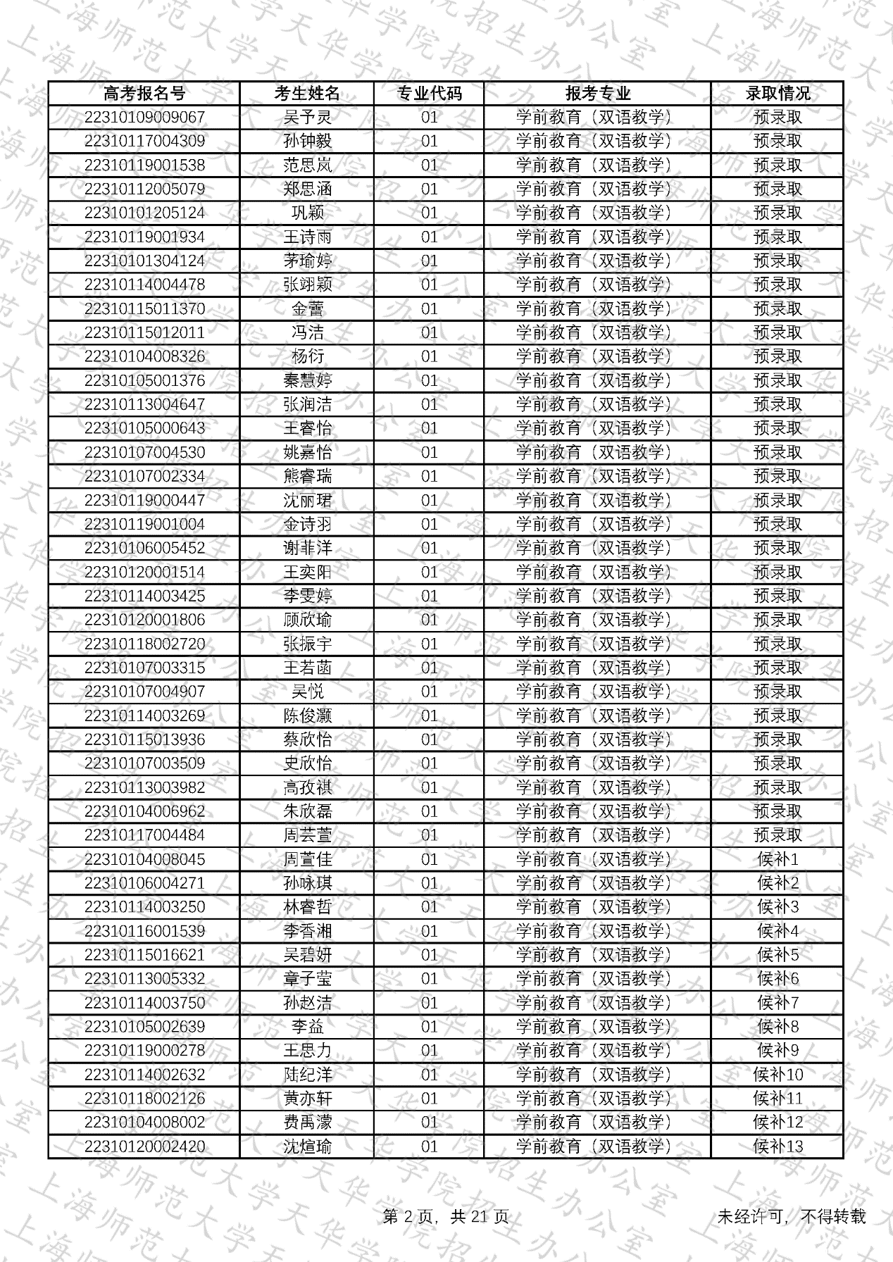
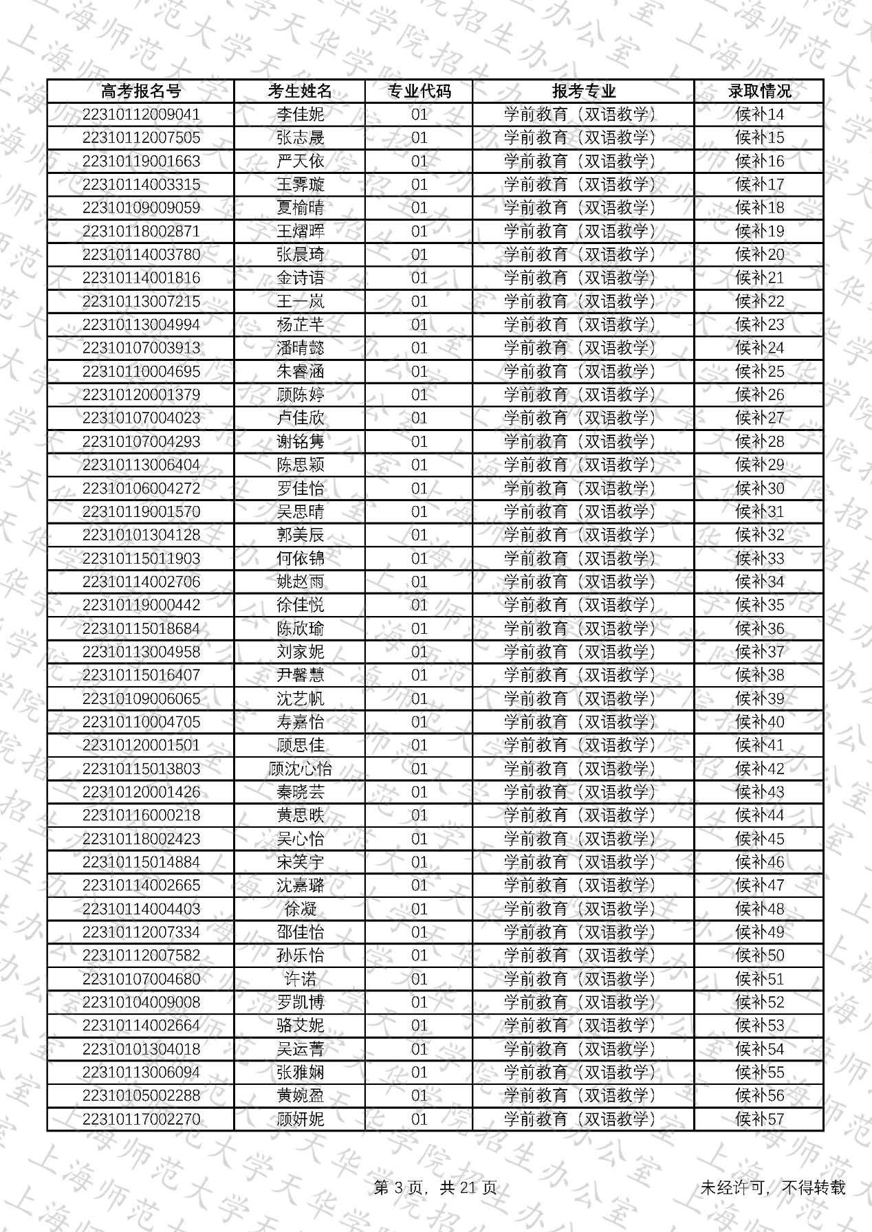
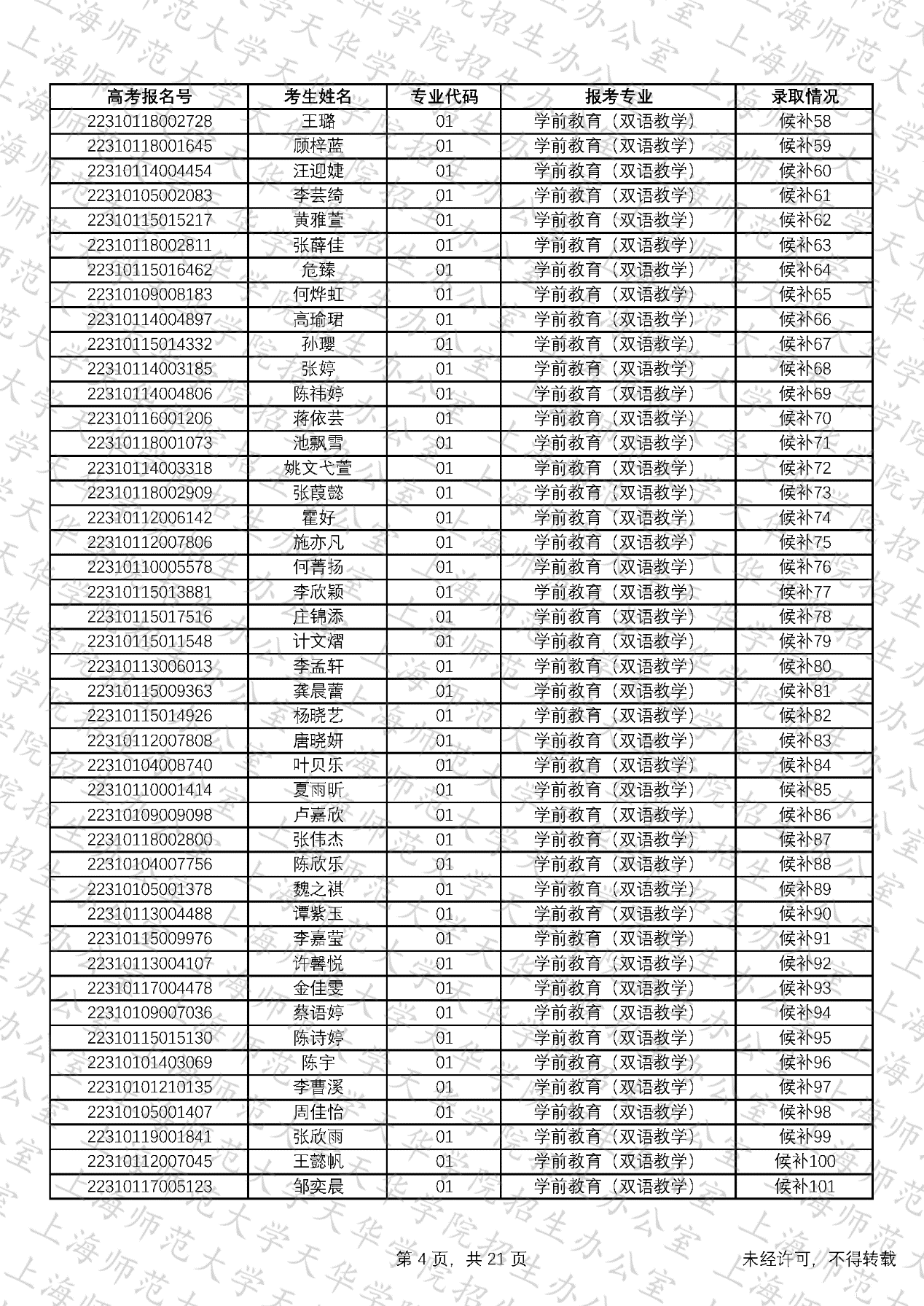
预录取及候补录取规则:同一专业志愿考生按春季高考总分从高到低排序(总分相同则按外语成绩、语文成绩、数学成绩次序优先排序),按招生计划的100%公布预录取考生名单,除预录取之外的所有获得院校自主测试资格的考生均列入候补录取名单。
确认流程、时间节点
3月18日起 | 各院校公示预录取和候补资格考生名单 |
3月21日-22日 | 预录取或候补录取考生网上进行专业信息登记(具体步骤按市教育考试院文件执行) |

重要提示:
以上五种状态考生,尤其是取得两个资格的考生,必须做出选择,
如最终取得预录取资格,则无需操作默认被预录取。
1. 取得两个专业预录取资格的考生,须在 3 月 21 日 9:00-15:00,网上选择一个专业进行录取专业信息登记。
2. 只取得一个专业预录取资格的考生,无需操作,默认被预录取。
3. 取得一个专业预录取、一个专业候补录取资格的考生,在 3月 21 日 9:00-15:00,可在网上直接选择预录取专业进行录取专业信息登记,也可选择候补录取专业进行网上候补资格确认。其中,选择候补录取专业资格确认的考生,如院校确认其最终取得该专业预录取资格,无需操作,默认被预录取;如最终未能取得该专业预录取资格的考生,无需操作,也将被原预录取专业预录取。
4. 取得一个专业候补录取资格的考生,须等待候补录取专业院校确认其是否取得预录取资格。若取得预录取资格,无需操作,默认被预录取(注意:确认候补资格的考生不一定会被录取,要根据该校预录取考生的录取确认情况而定)。
5. 取得两个专业候补录取资格的考生,须在 3 月 22 日9:00-12:00,在网上选择其中一个专业进行候补资格确认,如院校确认其最终取得预录取资格,无需操作,默认被预录取(注意:确认候补资格的考生不一定会被录取,要根据该校预录取考生的录取确认情况而定)。
预录取考生名单、候补资格考生名单
见附件






















