上海师范大学天华学院2021年春季招校测入围资格线
招生专业 | 入围资格线 | 备注 | |
1 | 学前教育(双语教学) | ≥268分 | 考生名单见附件 |
2 | 小学教育(中美合作) | ≥269分 | |
3 | 康复治疗学(中美合作) | ≥253分 | |
4 | 艺术教育 | ≥262分 |
备注:入围资格线不等于录取线。
上海师范大学天华学院
2020年3月4日
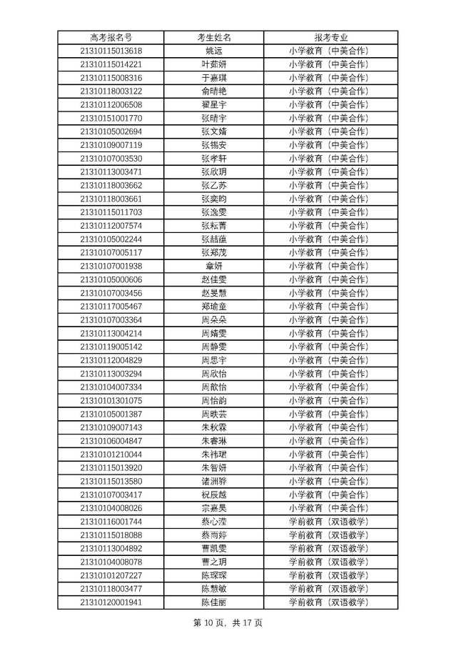
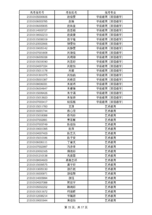
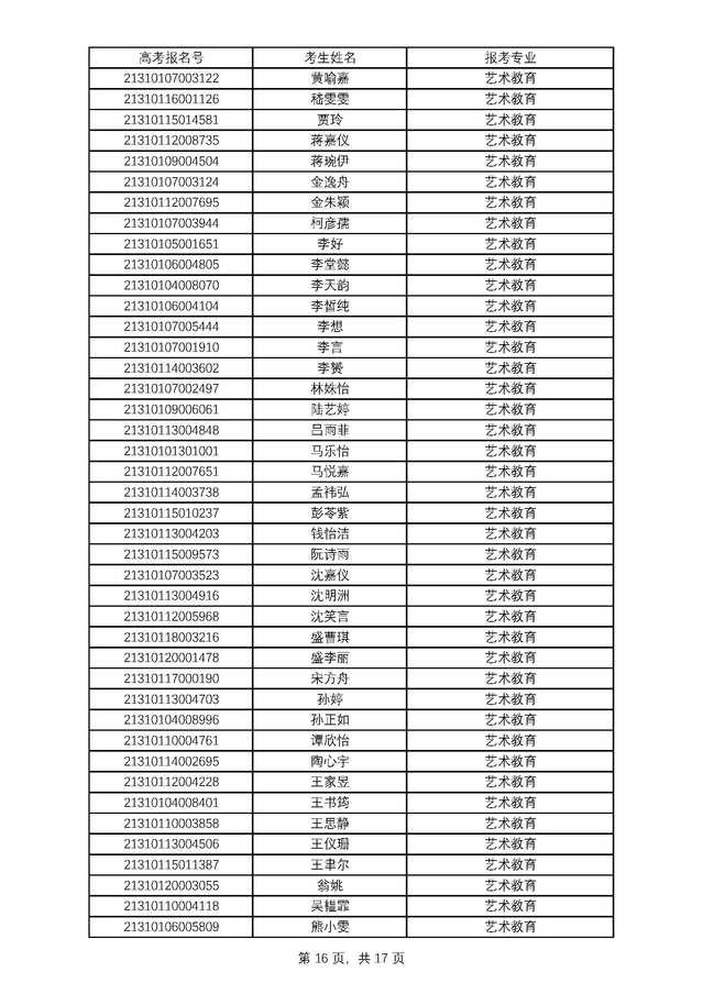
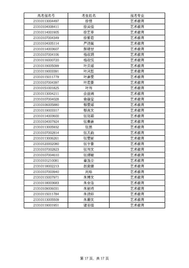
附件:

















上海师范大学天华学院2021年春季招校测入围资格线
招生专业 | 入围资格线 | 备注 | |
1 | 学前教育(双语教学) | ≥268分 | 考生名单见附件 |
2 | 小学教育(中美合作) | ≥269分 | |
3 | 康复治疗学(中美合作) | ≥253分 | |
4 | 艺术教育 | ≥262分 |
备注:入围资格线不等于录取线。
上海师范大学天华学院
2020年3月4日
附件:
















